752. Apramycin

Nomenclature

CAS number: 37321-09-8
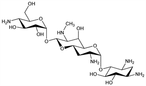
O-4-Amino-4-deoxy-α-d-glucopyranosyl-(1→8)-O-(8R)-2-amino-2,3,7-trideoxy-7-(methylamino)-d-glycero-α-d-allo-octodialdo-1,5:8,4-dipyranosyl-(1→4)-2-deoxy-d-streptamine; 4-O-[3α-amino-6α-[(4-amino-4-deoxy-α-d-glucopyranosyl)oxy]-2,3,4,4aβ,6,7,8aα-octahydro-8β-hydroxy-7β-(methylamino)pyranopyrano[3,2-b]pyran-2α-yl]-2-deoxy-d-streptamine; nebramycin factor 2; EL-857; EL-857/820; 47657; Apralan (Elanco).
C21H41N5O11; mol wt 539.58.
C 46.74%, H 7.66%, N 12.98%, O 32.62%.

Description and references

Broad spectrum aminocyclitol antibiotic and component of the nebramycin complex, produced by a strain of Streptomyces tenebrarius: R. Q. Thompson, E. A. Presti, Antimicrob. Agents Chemother. 1967, 332; W. M. Stark, US 3691279 (1972 to Lilly). Structure, abs config and properties: S. O'Connor et al., J. Org. Chem. 41, 2087 (1976). 13C-NMR: E. Wenkert, E. W. Hagaman, ibid. 701. In vitro activity: R. Ryden et al., J. Antimicrob. Chemother. 3, 609 (1977). Synthetic studies: H. C. Jarrell, W. A. Szarek, Carbohydr. Res. 67, 43 (1978); eidem, Can. J. Chem. 56, 144 (1978); 57, 924 (1979). See also tobramycin.

Chemical structure

Derivative

Monohydrate.

Properties

From aqueous ethanol, mp 245-247°. pKa (H2O): 8.5, 7.8, 7.2, 6.2, 5.4. Very soluble in water; slightly sol in lower alcohols.

Therapeutic Category (Veterinary)

Antibacterial.