9544. Tomatidine

Nomenclature

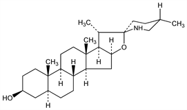
CAS number: 77-59-8
(3β,5α,22β,25S)-Spirosolan-3-ol; 5α-tomatidan-3β-ol; 5α,20βF,22αF,25βF,27-azaspirostan-3β-ol.
C27H45NO2; mol wt 415.65.
C 78.02%, H 10.91%, N 3.37%, O 7.70%.

Description and references

By hydrolysis of tomatine: Kuhn et al., Ber. 83, 448 (1950). Isoln from the roots of Rutgers tomato plant [Lycopersicon esculentum Mill., cultivar. “Rutgers”]: Brink, Folkers, J. Am. Chem. Soc. 73, 4018 (1951); Fontaine et al., ibid. 878; Sato et al., ibid. 880; Kuhn, Low, US 2770618 (1956 to Amer. Home Prod.). Structure: Sato et al., J. Org. Chem. 25, 783 (1960); Schreiber, Adams, Experientia 17, 13 (1961). Synthesis: Uhle, Moore, J. Am. Chem. Soc. 76, 6412 (1954); Uhle, ibid. 83, 1460 (1961); Kessar et al., Tetrahedron 27, 2869 (1971).

Chemical structure

Properties

Plates from ethyl acetate, mp 202-206°. [α]D25 +8° (chloroform).

Derivative

Hydrochloride.
C27H45NO2.HCl; mol wt 452.11.
C 71.73%, H 10.26%, N 3.10%, O 7.08%, Cl 7.84%.

Properties

Crystals from abs ethanol, mp 265-270°. [α]D25 5° (methanol).