9545. Tomatine

Nomenclature

CAS number: 17406-45-0
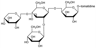
(3β,5α,22β,25S)-Spirosolan-3-yl O-β-d-glucopyranosyl-(1→2)-O-[β-d-xylopyranosyl-(1→3)]-O-β-d-glucopyranosyl-(1→4)-β-d-galactopyranoside; lycopersicin.
C50H83NO21; mol wt 1034.19.
C 58.07%, H 8.09%, N 1.35%, O 32.49%.

Description and references

Occurs in the extract of leaves of wild tomato plants: Fontaine et al., Arch. Biochem. 18, 467 (1948); Kuhn, Low, Ber. 81, 552 (1948); Kuhn et al., ibid. 83, 448 (1950); Bognar, Makleit, Pharmazie 11, 376 (1956). Yields on partial hydrolysis, besides α-tomatine, the main constituent, β1-, β2-, γ- and δ-tomatine: Kuhn et al., Ber. 90, 203 (1957). α-Tomatine consists of one mol tomatidine linked to a tetrasaccharide composed of 2 mols d-glucose, 1 mol d-xylose and 1 mol d-galactose: Kuhn et al., Angew. Chem. 68, 212 (1956). Proposed as an alternate precipitant to digitonin: Schultz, Sander, Z. Physiol. Chem. 308, 122 (1957). Structure: Reichstein, ibid. 74, 887 (1962). Toxicity study: Wilson et al., Toxicol. Appl. Pharmacol. 3, 39 (1961).

Chemical structure

Properties

Needles from methanol, mp 263-268°. [α]D20 18° (c = 0.55 in pyridine). Sol in ethanol, methanol, dioxane, propylene glycol. Practically insol in water, ether, petr ether. Stable to strong alkali but hydrolyzed by acids to produce cryst tomatidine and a soln rich in reducing sugars. Has been found to inhibit the growth of various fungi and bacteria. LD orally in rats: 900-1000 mg/kg (Wilson).

Use

Precipitating agent for steroids.