9580. Trehalose

Nomenclature

CAS number: 99-20-7
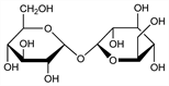
α-d-Glucopyranosyl-α-d-glucopyranoside; mushroom sugar; mycose; α,α-trehalose.
C12H22O11; mol wt 342.30.
C 42.11%, H 6.48%, O 51.41%.

Description and references

Non-reducing disaccharide found in fungi, bacteria, yeasts, and insects; 45% as sweet as sucrose. Provides the energy source for flight in many insects. Incorporated into mycobacterial structural glycolipids such as cord factors, q.v. Isoln from the ergot of rye: H. A. L. Wiggers, Ann. 1 129 (1832). Prepn and review of early history: T. S. Harding, Sugar 25, 476-478 (1923). Isoln from yeast: E. M. Koch, F. C. Koch, Science 61, 570 (1925); L. C. Stewart et al., J. Am. Chem. Soc. 72, 2059 (1950). Synthesis: Lemieux, Bauer, Can. J. Chem. 32, 340 (1954). Crystal structure: G. A. Jeffrey, R. Nanni, Carbohydr. Res. 137, 21 (1985). Review of metabolism: A. D. Elbein, Adv. Carbohydr. Chem. Biochem. 30, 227-256 (1974). In vitro evaluation in cryopreservation of human oocytes: A. Eroglu et al., Fertil. Steril. 77, 152 (2002). Use in freeze-drying human platelets: W. F. Wolkers et al., Cryobiology 42, 79 (2001); eidem, Cell Preservation Technol. 1, 175 (2003). Review of properties, toxicity and safety studies: A. B. Richards et al., Food Chem. Toxicol. 40, 871-898 (2002); of stabilizing functions and applications: T. Higashiyama, Pure Appl. Chem. 74, 1263-1269 (2002).

Chemical structure

Derivative

Dihydrate.

Nomenclature

CAS number: 6138-23-4

Properties

Orthorhombic, bisphenoidal crystals from dil alcohol. Sweet taste. mp 96.5-97.5°. The water of crystn escapes around 130°. Anhydrous trehalose melts at 203°. [α]D20 +178° (c = 7 of the dihydrate). Sol in water, hot alcohol. Insol in ether. Does not reduce Fehling's soln. Is fermented by yeast. Is not split by α-glucosidase. Acid hydrolysis gives 2 mols d-glucose.

Use

Stabilizes cells during freezing, freeze-drying and air-drying. Sweetener and stabilizer in foods; cryoprotectant for freeze-dried foods. Additive in cosmetics and personal care products.