9590. Triacetone Triperoxide

Nomenclature

CAS number: 17088-37-8
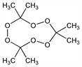
3,3,6,6,9,9-Hexamethyl-1,2,4,5,7,8-hexoxonane; 3,3,6,6,9,9-hexamethyl-1,4,7-cyclononatriperoxane; TATP; trimeric acetone peroxide.
C9H18O6; mol wt 222.24.
C 48.64%, H 8.16%, O 43.19%.

Description and references

Explosive solid; decomposes via an entropically favorable mechanism to form 4 gas phase molecules. Prepn: R. Wolffenstein, Ber. 28, 2265 (1895); A. Baeyer, V. Villiger, ibid. 33, 858 (1900); F. Acree, Jr., H. L. Haller, J. Am. Chem. Soc. 65, 1652 (1943). Crystal structure determn: P. Groth, Acta Chem. Scand. 23, 1311 (1969). Spectroscopic characterization and detection by ion mobility spectrometry: G. A. Buttigieg et al., Forensic Sci. Int. 135, 53 (2003). Decompn study: F. Dubnikova et al., J. Am. Chem. Soc. 127, 1146 (2005).

Chemical structure

Properties

Crystals from methyl alcohol, mp 98°. d 1.22. Explosive! Sensitive to mechanical stress and open flame. Highly volatile.

Use

In explosives.