9801. T-2 Toxin

Nomenclature

CAS number: 21259-20-1
(3α,4β,8α)-12,13-Epoxytrichothec-9-ene-3,4,8,15-tetrol 4,15-diacetate 8-(3-methylbutanoate); 3α-hydroxy-4β,15-diacetoxy-8α-(3-methylbutyryloxy)-12,13-epoxy-Δ9-tricothecene; 8α-(3-methylbutyryloxy)-4β,15-diacetoxyscirp-9-en-3α-ol; fusariotoxin T-2; insariotoxin; mycotoxin T-2; NSC-138780.
C24H34O9; mol wt 466.52.
C 61.79%, H 7.35%, O 30.87%.

Description and references

Tricothecene mycotoxin isolated from Fusarium tricinctum: J. R. Bamburg et al., Tetrahedron 24, 3329 (1968). Physicochemical data: A. E. Pohland et al., Pure Appl. Chem. 54, 2119 (1982). Synthesis: M. C. Wani et al., J. Org. Chem. 52, 3468 (1987). Biosynthetic study: F. Van Middlesworth et al., J. Org. Chem. 55, 1237 (1990). Toxicology studies: W. F. O. Marasas et al., Toxicol. Appl. Pharmacol. 15, 471 (1969); H. B. Schiefer, D. S. Hancock, ibid. 76, 464 (1984); D. A. Creasia et al., Fundam. Appl. Toxicol. 14, 54 (1990). Implicated as a chemical warfare agent in Southeast Asia with nivalenol, q.v.: N. Wade, Science 214, 34 (1981); R. T. Rosen, J. D. Rosen, Biomed. Mass Spectrom. 9, 443 (1982). Review: Developments in Food Science vol. 4, Y. Ueno, Ed., entitled “Trichothecenes: Chemical, Biological and Toxicological Aspects” (Kodansha Ltd. and Elsevier, New York, 1983) 310 pp. Review of pharmacokinetics and metabolism: B. Yagen, M. Bialer, Drug Metab. Rev. 25, 281-323 (1993).

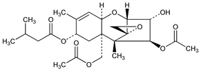
Chemical structure

Properties

Crystals, mp 151-152°. [α]D26 +15° (c = 2.58 in ethanol). Freely sol in ethyl alcohol, ethyl acetate, chloroform, DMSO and other organic solvents; slightly sol in petroleum ether; very slightly sol in water. LD50 orally in female rats: 4.0 mg/kg (Marasas). LD50 (mg/kg) in mice: 5.2 i.p., 4.2 i.v.; in rats: 7.0 intragastric, 0.9-1.3 i.p., 0.9 i.v., 2.0 s.c.; in guinea pigs: 3.0-4.0 orally, 5.3 intragastric, 1.0 i.m., 1.0-2.0 i.v., 1.0-2.0 s.c.; in pigs: 5.0 orally, 3.0 i.v. (Yagen, Bailer).

Caution

May be highly irritating to skin and mucous membranes. Direct contact may cause extensive inflammation and tissue necrosis (Marasas). Topical exposure has lead to systemic toxicity and death in experimental animals (Schiefer, Hancock).