6659. Nivalenol

Nomenclature

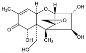
CAS number: 23282-20-4
(3α,4β,7α)-12,13-Epoxy-3,4,7,15-tetrahydroxytrichothec-9-en-8-one; 3α,4β,7α,15-tetrahydroxyscirp-9-en-8-one.
C15H20O7; mol wt 312.32.
C 57.68%, H 6.45%, O 35.86%.

Description and references

Trichothecene mycotoxin isolated from Fusarium nivale: T. Tatsuno et al., Chem. Pharm. Bull. 16, 2519 (1968). Structure: eidem, Tetrahedron Lett. 1969, 2823. Toxicology: T. Tatsuno, Cancer Res. 28, 2393 (1968). Implicated as a chemical warfare agent in Southeast Asia with T-2 toxin, q.v.: N. Wade, Science 214, 34 (1981); R. T. Rosen, J. D. Rosen, Biomed. Mass Spectrom. 9, 443 (1982).

Chemical structure

Properties

Crystals, mp 222-223° (dec). [α]24D +21.54° (c = 1.3 in ethanol). uv max (methanol): 218 nm (ε 6300). Slightly sol in water; sol in polar organic solvents. LD50 i.p. in mice: 40 μg/10 g (Tatsuno).

Caution

Potential symptoms of overexposure include fever, nausea, vomiting, diarrhea, leukopenia, bleeding, sepsis; necrotic lesions of skin and mucosa. See M. J. Ellenhorn, D. G. Barceloux in Medical Toxicology: Diagnosis and Treatment of Human Poisoning (Elsevier, New York, 1988) pp. 1312-1314.