9803. Tuberactinomycin

Nomenclature

CAS number: 11075-36-8

Description and references

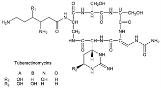
Polypeptide antibiotic mixture produced by Streptomyces griseoverticillatus var tuberacticus: Nagata et al., J. Antibiot. 21, 681 (1968); eidem, US 3639580 (1972). Composed of tuberactinomycins A, B, N, and O. Structures: Yoshioka et al., Tetrahedron Lett. 1971, 2043; Wakamiya et al., Bull. Chem. Soc. Jpn. 46, 949 (1973); Wakamiya, Shiba, J. Antibiot. 27, 900 (1974); eidem, 28, 292 (1975). Total synthesis of tuberactinomycin O: T. Teshima et al., Tetrahedron Lett. 1976, 2343; eidem, J. Antibiot. 30, 1073 (1977). Chemical studies on tuberactinomycin: T. Wakamiya et al., Heterocycles 15, 999 (1981).

Chemical structure

Derivative

Hydrochloride.

Properties

White solid, mp 244-264° (dec). [α]D25 -31.5° (c = 1 in water). uv maxima in water: 268 nm (E1%1cm 330); in 1N HCl: 268.5 nm (E1%1cm 313); in 0.1N NaOH: 285 nm (E1%1cm 206.5). Sol in water; weakly sol in methanol. Practically insol in ethanol, pyridine, ether, chloroform, dioxane; insol in acetone, benzene. pKa1 7.2; pKa2 10.3.

Derivative

Tuberactinomycin A.

Nomenclature

CAS number: 33103-21-8
1-[(3R,4R)-4-Hydroxy-l-3,6-diaminohexanoic acid]viomycin.
C25H43N13O11; mol wt 701.69.
C 42.79%, H 6.18%, N 25.95%, O 25.08%.

Derivative

Tuberactinomycin B see Viomycin.

Derivative

Tuberactinomycin N see Enviomycin.

Derivative

Tuberactinomycin O.

Nomenclature

CAS number: 33137-73-4
(R)-6-[l-2-(2-Amino-1,4,5,6-tetrahydro-4-pyrimidinyl)glycine]viomycin.
C25H43N13O9; mol wt 669.69.
C 44.84%, H 6.47%, N 27.19%, O 21.50%.

Therapeutic Category

Antibacterial (tuberculostatic).

Keywords

Antibacterial (Antibiotics); Polypeptides; Antibacterial (Tuberculostatic)