9868. Ureaform

Nomenclature

CAS number: 9011-05-6
Uramite (DuPont).

Description and references

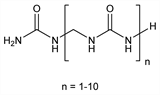
Condensation product of urea and formaldehyde in the approx ratio of 1.2-1.5 to 1. Consists of a mixture of methylene-urea polymers of varying length. Total nitrogen content at least 35%. Prepn: E. T. Darden, US 2766283 (1956 to Du Pont). Long-term trial in turf grass: D. V. Waddington et al., Soil Sci. Soc. Am. J. 40, 593 (1976). Availability and mineralization in soil: P. Sasson, Soil Sci. 128, 285 (1979). Review: A. Alexander, H.-U. Helm, Z. Pflanzenernaehr. Bodenkd. 153, 249-255 (1990).

Chemical structure

Properties

Yellow, granular material of small particle size. Cold water sol fraction is composed primarily of methylenediurea and dimethylenetriurea.

Use

Slow-release nitrogen fertilizer for turf grass.