9878. Uridine 5′-Diphosphate

Nomenclature

CAS number: 58-98-0
Uridine 5′-(trihydrogen diphosphate); UDP; uridine 5′-pyrophosphate; uridine-5-pyrophosphoric acid.
C9H14N2O12P2; mol wt 404.16.
C 26.75%, H 3.49%, N 6.93%, O 47.50%, P 15.33%.

Description and references

Can be isolated from calf's liver, thymus, and yeast. The commercial product is derived from yeast. Pentose nucleic acids (isolated from yeast) are digested with rattlesnake venom (freed of 5′-monoesterase) and the nucleotides are separated by chromatography: Cohn, Volkin, Arch. Biochem. Biophys. 35, 465 (1952); J. Biol. Chem. 203, 319 (1953). For alternate procedures see the refs under Uridine Diphosphate Glucose. Syntheses: Chambers, J. Am. Chem. Soc. 81, 3032 (1959); Moffatt, Khorana, ibid. 83, 649 (1961).

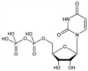
Chemical structure

Derivative

Lithium salt monohydrate.
C9H12N2O12P2Li2.H2O; mol wt 434.04.
C 24.90%, H 3.25%, N 6.45%, O 47.92%, P 14.27%, Li 3.20%.

Properties

Crystals, sol in water.

Derivative

Sodium salt trihydrate.
C9H12N2O12P2Na2.3H3O; mol wt 505.19.
C 21.40%, H 4.19%, N 5.55%, O 47.51%, P 12.26%, Na 9.10%.

Properties

Crystals. pKa′1 6.5; pKa′2 9.4. uv max (pH 7): 262 nm; (pH 11): 261 nm. Freely sol in water.