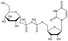
9879. Uridine Diphosphate Glucose

Nomenclature

CAS number: 133-89-1
Uridine 5′-(trihydrogen diphosphate) P′-α-d-glucopyranosyl ester; UDPG; UDP-Glucose; uridine 5′-pyrophosphate glucose ester; uridine-5′-diphosphoglucose; co-waldenase; co-galactoisomerase.
C15H24N2O17P2; mol wt 566.30.
C 31.81%, H 4.27%, N 4.95%, O 48.03%, P 10.94%.

Description and references

The coenzyme of the galactowaldenase system which catalyzes the conversion of galactose-1-phosphate into glucose-1-phosphate. Isoln from baker's yeast: Caputto et al., J. Biol. Chem. 184, 333 (1950). Also present in animal tissue. Synthesis: Michelson, Todd, J. Chem. Soc. 1956, 3459; Moffatt, Khorana, J. Am. Chem. Soc. 80, 3756 (1958). Reviews: Leloir, Cardini in The Enzymes vol. 2A, P. D. Boyer et al., Eds. (Academic Press, New York, 2nd ed., 1960) pp 39-61; A. M. Michelson, The Chemistry of Nucleosides and Nucleotides (Academic Press, New York, 1963) pp 153-250; D. W. Hutchison, Nucleotides and Coenzymes (John Wiley, New York, 1964) pp 36-82.

Chemical structure

Properties

Isolated as the barium or calcium salt, white powder, sol in water.

Derivative

Sodium salt dihydrate.
C15H23N2O17P2Na.2H2O; mol wt 624.31.
C 28.86%, H 4.36%, N 4.49%, O 48.69%, P 9.92%, Na 3.68%.

Properties

White powder. uv max (pH 2.0): 262 nm. Freely sol in water.