9892. Uscharidin

Nomenclature

CAS number: 24321-47-9
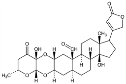
[2α(2S,3R,6R),3β,5α]-14-Hydroxy-19-oxo-2,3-[(tetrahydro-3-hydroxy-6-methyl-4-oxo-2H-pyran-3,2-diyl)bis(oxy)]card-20(22)-enolide.
C29H38O9; mol wt 530.61.
C 65.64%, H 7.22%, O 27.14%.

Description and references

African arrow poison and cardiac glycoside produced by Calotropis procera R. Br., Asclepiadaceae: Hesse et al., Ann. 566, 130 (1950). Prepn by hydrolysis of uscharin with 2N H2SO4 in methanol: Hesse et al., Ann. 537, 67 (1938); by treatment of voruscharin with mercuric chloride: Hesse, Ludwig, Ann. 632, 158 (1960). Structure: Crout et al., J. Chem. Soc. 1964, 2187. Revised structure: Brüschweiler et al., Helv. Chim. Acta 52, 2276 (1969). Stereochemistry: H. T. A. Cheung, T. R. Watson, J. Chem. Soc. Perkin Trans. 1 1980, 2162.

Chemical structure

Properties

Rhombic plates, decomp 290°. [α]D20 +38° (c = 0.9 in methanol).