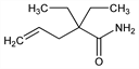
9901. Valdetamide

Nomenclature

CAS number: 512-48-1
2,2-Diethyl-4-pentenamide; diethylallylacetamide; Novonal (Hoechst).
C9H17NO; mol wt 155.24.
C 69.63%, H 11.04%, N 9.02%, O 10.31%.

Description and references

Description: Bockmühl, Schaumann, Dtsch. Med. Wochenschr. 54, 270 (1928). Pharmacokinetics and metabolism: H. Uehleke, M. Brinkschulte-Freitas, Arch. Pharmacol. 302, 11 (1978). TLC determn in urine: E. Klug, P. Toffel, Arzneim.-Forsch. 29, 1651 (1979).

Chemical structure

Properties

White powder, mp 75-76°. Sol in 120 parts water; freely sol in alcohol, ether.

Therapeutic Category

Sedative, hypnotic.

Keywords

Sedative/Hypnotic; Amides