9910. Valinomycin

Nomenclature

CAS number: 2001-95-8
C54H90N6O18; mol wt 1111.32.
C 58.36%, H 8.16%, N 7.56%, O 25.91%.

Description and references

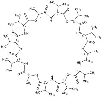
Cyclododecadepsipeptide ionophore antibiotic produced by Streptomyces fulvissimus and related to the enniatins, q.v. Composed of 3 moles each of l-valine, d-α-hydroxyisovaleric acid, d-valine, and l-lactic acid linked alternately to form a 36-membered ring: Brockmann et al., Ber. 88, 57 (1955); Ann. 603, 216 (1957). Structural studies: Shemyakin et al., Tetrahedron Lett. 1963, 351; Tetrahedron 19, 995 (1963). Proposed structure: Brockmann et al., Naturwissenschaften 50, 689 (1963). Structure and synthesis: Shemyakin et al., Tetrahedron Lett. 1963, 1921. Solid phase synthesis: Gisin et al., J. Am. Chem. Soc. 91, 2691 (1969); Losse, Klengel, Tetrahedron 27, 1423 (1971). Biosynthesis: Smirnova et al., C.A. 73, 97347m (1970); Ristow et al., FEBS Lett. 42, 127 (1974). Conformation: Ivanov et al., Biochem. Biophys. Res. Commun. 34, 803 (1969); Onishi, Urry, ibid. 36, 194 (1969); Duax et al., Science 176, 911 (1972). Review: Y. A. Ovchinnokov, V. T. Ivanov, “The Cyclic Peptides: Structure, Conformation, and Function”, in The Proteins vol. V, H. Neurath, R. L. Hill, Eds. (Academic Press, New York, 3rd ed., 1982) pp 563-573.

Chemical structure

Properties

Shiny rectangular platelets from dibutyl ether, mp 190° (hot stage). [α]D20 +31.0° (c = 1.6 in benzene). Neutral reaction. Practically insol in water. Freely sol in petr ether, ether, benzene, chloroform, glacial acetic, butyl acetate, acetone. Active in vitro against Mycobacterium tuberculosis.

Use

Insecticide, nematocide, Patterson, Wright, US 3520973 (1970 to Am. Cyanamid).