9911. Valnemulin

Nomenclature

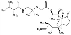
CAS number: 101312-92-9
[[2-[[(2R)-2-Amino-3-methyl-1-oxobutyl]amino]-1,1-dimethylethyl]thio]acetic acid (3aS,4R,5S,6S,8R,9R,9aR,10R)-6-ethenyldecahydro-5-hydroxy-4,6,9,10-tetramethyl-1-oxo-3a,9-propano-3aH-cyclopentacycloocten-8-yl ester; 14-O-[1-(d-2-amino-3-methylbutyrylamino)-2-methylpropan-2-ylthioacetyl]mutilin.
C31H52N2O5S; mol wt 564.82.
C 65.92%, H 9.28%, N 4.96%, O 14.16%, S 5.68%.

Description and references

Semisynthetic antibiotic; derivative of pleuromutilin, q.v. Prepn: H. Berner, H. Vyplel, EP 153277; eidem, US 4675330 (1985, 1987 both to Sandoz). Comparative in vitro activity vs porcine bacterial pathogens: I. A. Aitken et al., Vet. Rec. 144, 128 (1999). Mechanism of action study: S. M. Poulsen et al., Mol. Microbiol. 41, 1091 (2001). Pharmacokinetics in pigs: S. Horkovics-Kovats, F. Schatz, J. Pharm. Med. 6, 149 (1996). Efficacy vs Mycoplasma gallisepticum in chickens: F. T. W. Jordan et al., Avian Dis. 42, 738 (1998); vs Mycoplasma bovis in calves: L. Stipkovits et al., Res. Vet. Sci. 78, 207 (2005).

Chemical structure

Derivative

Hydrochloride.

Nomenclature

CAS number: 133868-46-9
Econor (Novartis).
C31H52N2O5S.HCl; mol wt 601.28.
C 61.92%, H 8.88%, N 4.66%, O 13.30%, S 5.33%, Cl 5.90%.

Therapeutic Category (Veterinary)

Antibacterial.