9915. Valrubicin

Nomenclature

CAS number: 56124-62-0
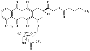
Pentanoic acid 2-[(2S,4S)-1,2,3,4,6,11-hexahydro-2,5,12-trihydroxy-7-methoxy-6,11-dioxo-4-[[2,3,6-trideoxy-3-[(trifluoroacetyl)amino]-α-l-lyxo-hexopyranosyl]oxy]-2-naphthacenyl]-2-oxoethyl ester; N-trifluoroacetyladriamycin-14-valerate; AD-32; NSC-246131; Valstar (Medeva).
C34H36F3NO13; mol wt 723.64.
C 56.43%, H 5.01%, F 7.88%, N 1.94%, O 28.74%.

Description and references

Semisynthetic doxorubicin, q.v., analog. Prepn: M. Israel et al., Cancer Res. 35, 1365 (1975); M. Israel, E. J. Modest, US 4035566 (1977 to S. Farber Cancer Inst.). TLC determn in biological samples: B. Barbieri et al., J. Chromatogr. 163, 195 (1979). Clinical pharmacokinetics: R. E. Greenberg et al., Urology 49, 471 (1997). Clinical trial in refractory bladder cancer: G. Steinberg et al., J. Urol. 163, 761 (2000). Review of pharmacology and clinical development: C. Doehn, Curr. Opin. Oncol. Endocr. Metab. Invest. Drugs 1, 407-415 (1999); S. V. Onrust, H. M. Lamb, Drugs Aging 15, 69-75 (1999).

Chemical structure

Properties

Orange or orange-red powder, mp 135-136°. Highly lipophilic. Sol in methylene chloride, ethanol, methanol, acetone. Practically insol in water.

Therapeutic Category

Antineoplastic

Keywords

Antineoplastic; Antibiotics and Analogs; Anthracyclines