9943. Vedejs Reagent

Nomenclature

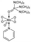
CAS number: 23319-63-3
(PB-7-34-1222′2′)-(Hexamethylphosphoric triamide-κO)oxodiperoxy(pyridine)molybdenum; oxodiperoxymolybdenum(pyridine)(hexamethylphosphoric triamide); MoOPH.
C11H23MoN4O6P; mol wt 434.24.
C 30.43%, H 5.34%, Mo 22.09%, N 12.90%, O 22.11%, P 7.13%.

Description and references

Oxidizing agent. Prepn and structural characterization: H. Mimoun et al., Bull. Soc. Chim. Fr. 1969, 1481. Prepn and synthetic use in hydroxylation of enolates: E. Vedejs, J. Am. Chem. Soc. 96, 5944 (1974); idem et al., J. Org. Chem. 43, 188 (1978); E. Vedejs, S. Larsen, Org. Synth. 64, 127 (1986). Improved prepn: A. R. Daniewski, W. Wojciechowska, Synth. Commun. 16, 535 (1986). Synthetic applications: K. Krohn et al., Ber. 123, 1729 (1990); K. Makino et al., Tetrahedron 58, 9737 (2002). Brief review: D. B. Weibel, Synlett 2000, 1076.

Chemical structure

Properties

Yellow crystalline powder, mp 103-105° (evolution of gas). Protect from light and moisture; keep refrigerated.

Use

Reagent for the hydroxylation of enolates.