9958. Verbascose

Nomenclature

CAS number: 546-62-3
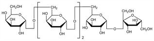
β-d-Fructofuranosyl O-α-d-galactopyranosyl-(1→6)-O-α-d-galactopyranosyl(1→6)-O-α-d-galactopyranosyl-(1→6)-α-d-glucopyranoside; O-α-d-galactopyranosyl-(1→6)-[O-α-d-galactopyranosyl-(1→6)-]2-O-α-d-glucopyranosyl-(1→2)-β-d-fructofuranoside.
C30H52O26; mol wt 828.72.
C 43.48%, H 6.32%, O 50.20%.

Description and references

Oligosaccharide isolated from roots of mullein Verbascum thapsus L., Scrophulariaceae: Bourquelot, Bridel, Compt. Rend. 151, 760 (1910); from birch wood, Betula verrucosa Ehrh., Betulaceae: Lindberg, Selleby, Acta Chem. Scand. 12, 1512 (1958). Structure: Wickstrm et al., Bull. Soc. Chim. Fr. 1956, 827. Review: D. French “The Raffinose Family of Oligosaccharides” in Adv. Carbohydr. Chem. 9, 180-181 (1954).

Chemical structure

Properties

Needles, mp 219-220°, mp 253°. [α]D20 +170° (water); [α]D25 +146° (c = 2.1 in water).