10012. Vital Red

Nomenclature

CAS number: 574-65-2
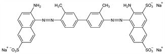
3-Amino-4-[[4′-[(2-amino-6-sulfo-1-naphthalenyl)azo]-3,3′-dimethyl[1,1′-biphenyl]-4-yl]azo]-2,7-naphthalenedisulfonic acid trisodium salt; C.I. Direct Red 34; C.I. 23570; brilliant vital red; Brilliant Congo R; Vital Red Evans; ditolyldiazo-3,6-disulfo-β-naphthylamine-β-naphthylamine-6-sulfonic acid sodium salt.
C34H25N6Na3O9S3; mol wt 826.76.
C 49.39%, H 3.05%, N 10.17%, Na 8.34%, O 17.42%, S 11.64%.

Description and references

Prepd by diazotization of o-tolidine and coupling the resulting tetrazotolidine first with 2-naphthylamine-3,6-disulfonic acid (amino R salt) and next with 2-naphthylamine-6-sulfonic acid (Brnner acid): Palkin, Evans, J. Am. Chem. Soc. 47, 429 (1925); DE 41095; Frdl. 1, 476; Colour Index vol. 4 (3rd ed., 1971) p 4191.

Chemical structure

Properties

Cherry-red crystals from water. Absorption max: 500 nm (aq soln). Sol in water giving a brownish-red soln. Gives blue solution with concd HCl. Slightly sol in alc.

Use

For blood volume determinations.