10060. Xanthinol Niacinate

Nomenclature

CAS number: 437-74-1
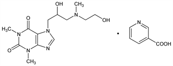
3-Pyridinecarboxylic acid compd with 3,7-dihydro-7-[2-hydroxy-3-[(2-hydroxyethyl)methylamino]propyl]-1,3-dimethyl-1H-purine-2,6-dione (1:1); 7-[2-hydroxy-3-[(2-hydroxyethyl)methylamino]propyl]theophylline compd with nicotinic acid; 7-[3-[N-(2-hydroxyethyl)amino]-2-hydroxypropyl]theophylline nicotinate; xanthinol nicotinate; SK-331-A; Complamin (3M Pharma); Xavin (Chinoin).
C19H26N6O6; mol wt 434.45.
C 52.53%, H 6.03%, N 19.34%, O 22.10%.

Description and references

Prepn: Bestian, DE 1102750 (1961 to Wuelfing), C.A. 56, 11602i (1962). Alternate synthesis: Korbonits et al., Acta Pharm. Hung. 38, 98 (1968). Pharmacology: Hemmer, Diezemann, Arzneim.-Forsch. 12, 672 (1962); Lennartz, ibid. 675; Stamm, ibid. 679.

Chemical structure

Properties

Crystals, mp 180°. Freely sol in water.

Therapeutic Category

Vasodilator (peripheral).

Keywords

Vasodilator (Peripheral)