10096. Yellow OB

Nomenclature

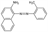
CAS number: 131-79-3
1-[(2-Methylphenyl)azo]-2-naphthalenamine; C.I. Solvent Yellow 6; 1-o-tolylazo-2-naphthylamine; FD & C Yellow no. 4; Ext. D & C Yellow no. 10; C.I. 11390.
C17H15N3; mol wt 261.32.
C 78.13%, H 5.79%, N 16.08%.

Description and references

Prepd from diazotized o-toluidine and β-naphthylamine: Krüss, Z. Phys. Chem. 51, 270 (1905); Norman, J. Chem. Soc. 101, 1913 (1912); Fischer, J. Prakt. Chem. 104, 102 (1922); Hodgson, Foster, J. Chem. Soc. 1942, 30. Toxicity studies: Allmark et al., J. Pharm. Pharmacol. 7, 591 (1955); Hansen et al., Toxicol. Appl. Pharmacol. 5, 16 (1963). Formerly used in the U.S. for coloring oleomargarine.

Chemical structure

Properties

Deep red crystals from alc. Also reported as bright yellow needles (Krüss). mp 125-126° (Fischer). Practically insol in water. Sol in alc, ether, benzene, carbon tetrachloride, vegetable oils, glacial acetic acid. An alcoholic soln becomes redder with HCl addition, but is unaltered by NaOH addition.