10118. Zeaxanthin

Nomenclature

CAS number: 144-68-3
β,β-Carotene-3,3′-diol; all-trans-β-carotene-3,3′-diol; (3R,3′R)-dihydroxy-β-carotene; zeaxanthol; anchovyxanthin.
C40H56O2; mol wt 568.87.
C 84.45%, H 9.92%, O 5.62%.

Description and references

One of the most widespread carotenoid alcohols in nature. Occurs together and is isomeric with xanthophyll, q.v. It is the pigment of yellow corn Zea mays L., Gramineae. Isoln from yellow corn grits: Karrer et al., Helv. Chim. Acta 13, 268 (1930). Isoln by chromatography: Kuhn, Grundmann, Ber. 67, 596 (1934). Isoln from algae, bacteria: A. J. Aasen et al., Acta Chem. Scand. 26, 404 (1972). Isoln of dipalmitate from Physalis petal: Kuhn et al., Ber. 63, 1489 (1930). Does not possess vitamin A potency: Schumacher et al., Poult. Sci. 23, 529 (1944). Stereochemistry: Zechmeister, Chem. Rev. 34, 267 (1944). Abs config of natural zeaxanthin: T. E. de Ville et al., Chem. Commun. 1969, 1311; J. R. Hlubucek et al., J. Chem. Soc. Perkin Trans. 1 1974, 848. Total synthesis: Isler et al., Helv. Chim. Acta 39, 2041 (1956); 40, 456 (1957); Loeber et al., J. Chem. Soc. C 1971, 404; A. Rüttimann, H. Mayer, Helv. Chim. Acta 63, 1456 (1980); P. R. Ellis et al., ibid. 64, 1092 (1980); E. Widmer et al., ibid. 65, 944, 958 (1982). Sepn of configurational isomers by HPLC: A. Rüttimann et al., J. High Resolut. Chromatogr. Chromatogr. Commun. 6, 612 (1983). First isoln of enantiomeric and meso-zeaxanthin in nature: T. Maoka et al., Comp. Biochem. Physiol. 83B, 121 (1986). Mfg procedure: Isler et al., US 2917539 (1959 to Hoffmann-La Roche). Reviews: Zechmeister, Carotinoide (Berlin, 1934); Mayer, The Chemistry of Natural Coloring Matters (New York, 1943); Karrer, Jucker, Carotenoids (New York, 1950).

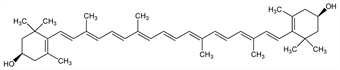
Chemical structure

Properties

Yellow rhombic plates with steel-blue metallic luster from ethanol, mp 207° (Zechmeister); mp 215.5° (Kuhn). Optically inactive. Absorption bands (ethanol) 483, 451.5 nm. Practically insol in water. Slightly sol in petr ether, methanol; sol in carbon disulfide, benzene, chloroform, carbon tetrachloride, pyridine, ethyl acetate; sol in glacial acetic acid upon addition of hexane. Less sol in boiling methanol (1:1550) than xanthophyll.

Derivative

Dipalmitate.

Nomenclature

Physalien; physalin.
C72H116O4; mol wt 1045.69.
C 82.70%, H 11.18%, O 6.12%.

Properties

Fine yellow or red needles from benzene, mp 97°.