10227. Doripenem

Nomenclature

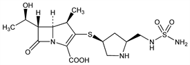
CAS number: 148016-81-3
(4R,5S,6S)-3-[[(3S,5S)-5-[[(Aminosulfonyl)amino]methyl]-3-pyrrolidinyl]thio]-6-[(1R)-1-hydroxyethyl]-4-methyl-7-oxo-1-azabicyclo[3.2.0]hept-2-ene-2-carboxylic acid; (1R,5S,6S)-2-[(3S,5S)-5-sulfamoylaminomethylpyrrolidin-3-ylthio]-6-[(1R)-1-hydroxyethyl]-1-methylcarbapen-2-em-3-carboxylic acid; (1R,5S,6S)-6-[(1R)-1-hydroxyethyl]-2-[(3S,5S)-5-sulfamidomethylpyrrolidin-3-yl]thio-1-methyl-1-carba-2-penem-3-carboxylic acid; S-4661.
C15H24N4O6S2; mol wt 420.50.
C 42.84%, H 5.75%, N 13.32%, O 22.83%, S 15.25%.

Description and references

Broad spectrum 1β-methyl-carbapenem antibiotic. Prepn: Y. Nishitani et al., EP 528678; eidem, US 5317016 (1993, 1994 both to Shionogi). Synthesis and structure-activity relationship: Y. Iso et al., J. Antibiot. 49, 199 (1996) PubMed. Large-scale synthesis: Y. Nishino et al., Org. Process Res. Dev. 7, 846 (2003) DOI. HPLC determn in serum: C. Sutherland, D. P. Nicolau, J. Chromatogr. B 853, 123 (2007) DOI PubMed. Comparative stability against human recombinant dehydropeptidase-I (DHP-I) versus imipenem and biapenem: M. Mori et al., J. Antimicrob. Chemother. 37, 1034 (1996) DOI. In vitro and in vivo activity: M. Tsuji et al., Antimicrob. Agents Chemother. 42, 94 (1998) PubMed. Comparative antimicrobial spectrum in vitro: T. R. Fritsche et al., Clin. Microbiol. Infect. 11, 974 (2005) DOI PubMed. Activity against carbapenem-resistant isolates of Pseudomonas aeruginosa: S. Sakyo et al., J. Antibiot. 59, 220 (2006) PubMed. Pharmacokinetics: T. Hori et al., In Vivo 20, 91 (2006) PubMed.

Chemical structure

Properties

Colorless foam.

Derivative

Hydrate.

Nomenclature

CAS number: 364622-82-2
Finibax (Shionogi).
C15H24N4O6S2.H2O; mol wt 438.52.
C 41.08%, H 5.98%, N 12.78%, O 25.54%, S 14.62%.

Properties

Crystalline powder. Sol in water.

Therapeutic Category

Antibacterial.

Keywords

Antibacterial (Antibiotics); β-Lactams; Carbapenems