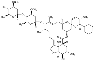
3425. Doramectin

Nomenclature

CAS number: 117704-25-3
25-Cyclohexyl-5-O-demethyl-25-de(1-methylpropyl)avermectin A1a; 25-cyclohexylavermectin B1; UK-67994; Dectomax (Pfizer); DoraQuest (Agrovet).
C50H74O14; mol wt 899.11.
C 66.79%, H 8.30%, O 24.91%.

Description and references

Mutational biosynthetic antiparasitic antibiotic structurally related to the avermectins, q.v. Isoln: S. P. Gibson et al., EP 214731; eidem, US 5089480 (1987, 1992 both to Pfizer). Mutational biosynthesis: C. J. Dutton et al., J. Antibiot. 44, 357 (1991). Pharmacokinetics and efficacy in cattle: Vet. Parasitol. 49, 1-119 (1993). Clinical evaluation as prophylactic in canine spirocercosis: E. Lavy et al., Res. Vet. Sci. 75, 217 (2003).

Chemical structure

Properties

mp 116-119°.

Therapeutic Category (Veterinary)

Antiparasitic.