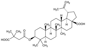
10244. Bevirimat

Nomenclature

CAS number: 174022-42-5
(3β)-3-(3-Carboxy-3-methyl-1-oxobutoxy)-lup-20(29)-en-28-oic acid; 3-O-(3′,3′-dimethylsuccinyl)betulinic acid; PA-457; YK-FH312.
C36H56O6; mol wt 584.83.
C 73.93%, H 9.65%, O 16.41%.

Description and references

HIV maturation inhibitor derived from the natural product, betulinic acid, q.v. Disrupts processing of HIV Gag protein and blocks the conversion to mature capsid. Prepn: K.-H. Lee et al., WO 9639033 (1996 to UNC Chapel Hill); eidem, US 5679828 (1997 to Biotech; UNC Chapel Hill); Y. Kashiwada et al., J. Med. Chem. 39, 1016 (1996) DOI PubMed. Anti-HIV activity: T. Kanamoto et al., Antimicrob. Agents Chemother. 45, 1225 (2001) DOI PubMed. Mechanism of action: F. Li et al., Proc. Natl. Acad. Sci. USA 100, 13555 (2003) DOI PubMed; eidem, Virology 356, 217 (2006) DOI PubMed. Clinical pharmacokinetics: D. E. Martin et al., Antimicrob. Agents Chemother. 51, 3063 (2007) DOI PubMed. Review: Z. Temesgen, J. E. Feinberg, Curr. Opin. Investig. Drugs 7, 759-765 (2006) PubMed.

Chemical structure

Properties

Colorless needles from methanol, mp 274-276°. [α]D19 +23.5° (c = 0.71 in chloroform/methanol).

Derivative

Dimeglumine salt.

Nomenclature

CAS number: 823821-85-8
PA-457N; PA-103001.
C36H56O6.2C7H17NO5; mol wt 975.25.
C 61.58%, H 9.30%, O 26.25%, N 2.87%.

Description and references

Prepn: M. D. Power, D. E. Martin, WO 05090380; eidem, US 050239748 (both 2005 to Panacos).

Properties

White solid from diethyl ether. Soly (mg/ml): propylene glycol >255, methanol 37.03, ethanol 24.99, deionized water >7.

Therapeutic Category

Antiretroviral.

Keywords

Antiretroviral; Maturation Inhibitors