10381. Rebaudiosides

Description and references

Group of intensely sweet, steviol glycosides isolated from the stevia plant, Stevia rebaudiana Bert., Asteraceae. Rebaudiosides A and C are the most abundant. Structurally similar to stevioside, q.v.; differing in the number and type of sugars attached. Isoln of A and B: H. Kohda et al., Phytochemistry 15, 981 (1976) DOI. Structure determn by 13C-NMR: K. Yamasaki et al., Tetrahedron Lett. 17, 1005 (1976) DOI. Isoln of C, D, E: I. Sakamoto et al., Chem. Pharm. Bull. 25, 844 (1977). Structures and separative analysis: O. Tanaka, Trends Anal. Chem. 1, 246 (1982) DOI. Photostability of A in carbonated beverages: S. S. Chang, J. M. Cook, J. Agric. Food Chem. 31, 409 (1983) DOI; J. F. Clos et al., ibid. 56, 8507 (2008) DOI PubMed. Series of articles on safety assessment and development of A as food additive: Food Chem. Toxicol. 46, Suppl 1, S1-S92 (2008) DOI.

Chemical structure

Derivative

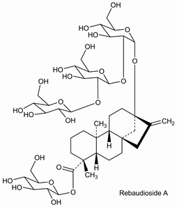
Rebaudioside A.

Nomenclature

CAS number: 58543-16-1
(4α)-13-[(O-β-d-Glucopyranosyl-(1→2)-O-[β-d-glucopyranosyl-(1→3)]-β-d-glucopyranosyl)oxy]kaur-16-en-18-oic acid β-d-glucopyranosyl ester; stevioside a3; rebiana; Truvia (Coca-Cola Co.).
C44H70O23; mol wt 967.01.
C 54.65%, H 7.30%, O 38.05%.

Description and references

One of the sweetest natural products known.

Properties

Trihydrate, colorless needles from methanol, mp 242-244°. [α]D24 20.8° (c = 0.84 in methanol). Sweetness potency: 170 (relative to 10% sucrose).

Derivative

Rebaudioside B.

Nomenclature

CAS number: 58543-17-2
(4α)-13-[(O-β-d-Glucopyranosyl-(1→2)-O-[β-d-glucopyranosyl-(1→3)]-β-d-glucopyranosyl)oxy]kaur-16-en-18-oic acid; stevioside a4.
C38H60O18; mol wt 804.87.
C 56.71%, H 7.51%, O 35.78%.

Properties

Hydrolysis product of rebaudioside A. Dihydrate, colorless needles from methanol, mp 193-195°. [α]D24 45.4° (c = 0.96 in methanol).

Derivative

Rebaudioside C.

Nomenclature

CAS number: 63550-99-2
(4α)-13-[(O-6-Deoxy-α-l-mannopyranosyl-(1→2)-O-[β-d-glucopyranosyl-(1→3)]-β-d-glucopyranosyl)oxy]kaur-16-en-18-oic acid β-d-glucopyranosyl ester; dulcoside B.
C44H70O22; mol wt 951.01.
C 55.57%, H 7.42%, O 37.01%.

Properties

Colorless needles from methanol, mp 215-217°. [α]D25 29.9° (methanol).

Derivative

Rebaudioside D.

Nomenclature

CAS number: 63279-13-0
C50H80O28; mol wt 1129.15.
C 53.18%, H 7.14%, O 39.67%.

Properties

Contains 5 glucopyransyl residues. Colorless needles from ethanol, mp 283-286°. [α]D25 22.7° (methanol).

Derivative

Rebaudioside E.

Nomenclature

CAS number: 63279-14-1
C44H70O23; mol wt 967.01.
C 54.65%, H 7.30%, O 38.05%.

Properties

Colorless needles from methanol, mp 205-207°. [α]D25 34.2° (methanol).

Use

Rebaudioside A as non-nutritive sweetener.