P. Edman, Acta Chem. Scand. 4, 283 (1950).
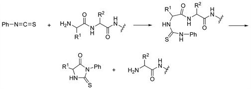
Cyclic degradation of peptides based on the reaction of phenylisothiocyanate with the free amino group of the N-terminal residue such that amino acids are removed one at a time and identified as their phenylthiohydantoin derivatives:

S. Bsze et al., J. Chromatogr. A 668, 345 (1994). Reviews: R. A. Laursen et al., Methods Biochem. Anal. 26, 201-284 (1980); R. L. Heinrikson, “The Edman Degradation in Protein Sequence Analysis” in Biochemical and Biophysical Studies of Proteins and Nucleic Acids, T.-B. Lo et al., Eds. (Elsevier, New York, 1984) pp 285-302; K.-K. Han et al., Int. J. Biochem. 17, 429-445 (1985); C. G. Fields et al., Pept. Res. 6, 39-47 (1993).