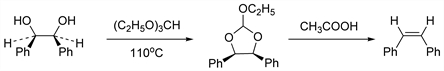
113. Eastwood Reaction

(Eastwood Deoxygenation)

G. Grank, F. W. Eastwood, Aust. J. Chem. 17, 1392 (1964).

Stereospecific conversion of vicinal diols into olefins:

Chemical reaction

References

Review: E. Block, Org. React. 30, 478-491 (1984). Cf. Corey-Winter Olefin Synthesis.