12-00390. Amantanium Bromide [Archived]

Nomenclature

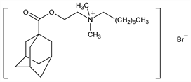
CAS number: 58158-77-3
N,N-Dimethyl-N-[2-[(tricyclo[3.3.1.13,7]dec-1-ylcarbonyl)oxy]ethyl]-1-decanaminium bromide; 2-(1′-adamantanecarbonyloxy)ethyldimethyldecylammonium bromide; decyl(2-hydroxyethyl)dimethylammonium bromide 1-adamantanecarboxylate; Amantol (Rottapharm).
C25H46BrNO2; mol wt 472.54.
C 63.54%, H 9.81%, Br 16.91%, N 2.96%, O 6.77%.

Description and references

Prepn: R. A. Bauman, US 3928411 (1975 to Colgate-Palmolive); and activity: L. Rovati et al., US 4288609 (1981 to Rotta).

Chemical structure

Properties

Crystals, mp 182-184°. LD50 orally in mice: 910 mg/kg (Rovati).

Therapeutic Category

Antiseptic.

Keywords

Antiseptic/Disinfectant; Quaternary Ammonium Compounds

Status

This monograph has been retired and is no longer subject to revision or update.