12-00772. Apicycline [Archived]

Nomenclature

CAS number: 15599-51-6
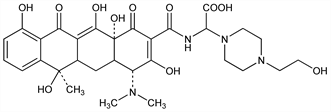
α-[4-(Dimethylamino)-1,4,4a,5,5a,6,11,12a-octahydro-3,6,10,12,12a-pentahydroxy-6-methyl-1,11-dioxo-2-naphthacenecarboxamido]-4-(2-hydroxyethyl)-1-piperazineacetic acid; N-[(2-hydroxyethyl)piperazinocarboxymethyl]tetracycline; RIT-1140.
C30H38N4O11; mol wt 630.64.
C 57.14%, H 6.07%, N 8.88%, O 27.91%.

Description and references

Semi-synthetic antibiotic similar to tetracycline. Prepn: Rondelet, NL 6515688 C.A. 66, 46260a (1967) and BE 673130 C.A. 68, 104840u (1968) (both 1966 to Recherche & Ind. Ther.); Valcavi et al., Farmaco Ed. Sci. 21, 775 (1966); Rondelet, Froment, Ann. Pharm. Fr. 26, 63 (1968).

Chemical structure

Properties

Yellow, amorphous powder with slight amine odor, mp 144.5° (dec). Freely sol in water. [α]D 123° (c = 0.5 in methanol); [α]D 133° (c = 0.5 in water).

Therapeutic Category

Antibacterial.

Keywords

Antibacterial (Antibiotics); Tetracyclines

Status

This monograph has been retired and is no longer subject to revision or update.