12-01153. Benzpyrinium Bromide [Archived]

Nomenclature

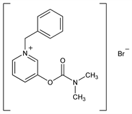
CAS number: 587-46-2
3-[[(Dimethylamino)carbonyl]oxy]-1-(phenylmethyl)pyridinium bromide; 1-benzyl-3-hydroxypyridinium bromide dimethylcarbamate; 1-benzyl-3-(dimethylcarbamyloxy)pyridinium bromide; benzstigminum bromidum; Stigmenene bromide; Stigmonene bromide (Warner-Chilcott).
C15H17BrN2O2; mol wt 337.21.
C 53.43%, H 5.08%, Br 23.70%, N 8.31%, O 9.49%.

Description and references

Prepd from 3-hydroxypyridine dimethylcarbamate and benzyl bromide: Wuest, US 2489247 (1949 to Wm. R. Warner).

Chemical structure

Properties

Crystals, mp 114-115°. Freely sol in water, alc. Practically insol in ether. A 1% aq soln has a pH of 4.5 to 5.5. uv max: 269 nm (E1%1cm 136).

Therapeutic Category

Cholinergic.

Keywords

Cholinergic

Status

This monograph has been retired and is no longer subject to revision or update.