12-03402. Diponium Bromide [Archived]

Nomenclature

CAS number: 2001-81-2
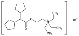
2-[(Dicyclopentylacetyl)oxy]-N,N,N-triethylethanaminium bromide; triethyl(2-hydroxyethyl)ammonium bromide dicyclopentylacetate; diethylaminoethyl α,α-dicyclopentylacetate ethobromide; dicyclopentylacetic acid β-diethylaminoethyl ester ethobromide; dipenine bromide; SA-267; Unospaston (Siegfried).
C20H38BrNO2; mol wt 404.43.
C 59.40%, H 9.47%, Br 19.76%, N 3.46%, O 7.91%.

Description and references

Prepn: Barrelet et al., Ind. Chim. Belge Suppl. 2, 428 (1959); eidem, CH 344054 (1960 to Siegfried), C.A. 55, 418b (1961). Pharmacology: G. Stille, Arzneim.-Forsch. 10, 911 (1960); G. Husler, U. Jahn, ibid. 15, 878 (1965).

Chemical structure

Properties

Crystals, mp 185-186°. Freely sol in water. LD50 in mice (mg/kg): 570 orally; 88 i.p.; 6.2 i.v. (Stille); in rats (mg/kg): 6.6 i.v.; 780 orally (Husler, Jahn).

Therapeutic Category

Antispasmodic.

Keywords

Antispasmodic

Status

This monograph has been retired and is no longer subject to revision or update.