13-03380. 5,5-Dipropyl-2,4-oxazolidinedione [Archived]

Nomenclature

CAS number: 512-12-9
Propazone.
C9H15NO3; mol wt 185.22.
C 58.36%, H 8.16%, N 7.56%, O 25.91%.

Description and references

Prepd by refluxing dipropylglycolamide and ethylchlorocarbonate with toluene: Stoughton, J. Am. Chem. Soc. 63, 2376 (1941); see also Altwegg, Ebin, US 1375949 (1921).

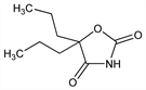
Chemical structure

Properties

Crystals, mp 42-43°. bp3 141-143°.

Derivative

Sodium salt.

Properties

White powder, very sol in water.

Status

This monograph has been retired and is no longer subject to revision or update.