12-07229. Penicillin S [Archived]

Nomenclature

CAS number: 575-54-2
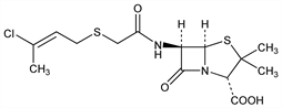
(2S,5R,6R)-6-[[[(3-Chloro-2-butenyl)thio]acetyl]amino]-3,3-dimethyl-7-oxo-4-thia-1-azabicyclo[3.2.0]heptane-2-carboxylic acid; γ-chlorocrotylmercaptomethylpenicillin.
C14H19ClN2O4S2; mol wt 378.89.
C 44.38%, H 5.05%, Cl 9.36%, N 7.39%, O 16.89%, S 16.93%.

Description and references

Obtained by growing a penicillin-producing mold in a culture medium contg γ-chlorocrotylmercaptoacetic acid: Ford et al., J. Am. Chem. Soc. 70, 3522 (1948); Ford et al., Antibiot. Chemother. 3, 1149 (1953).

Chemical structure

Derivative

Potassium salt.

Nomenclature

CAS number: 525-87-1
Potassium γ-chlorocrotylmercaptomethylpenicillinate; potassium penicillin S.
C14H18ClKN2O4S2; mol wt 416.99.
C 40.32%, H 4.35%, Cl 8.50%, K 9.38%, N 6.72%, O 15.35%, S 15.38%.

Properties

Crystals from acetone. Disagreeable odor and taste. Sol in water. Bioassay: 1900 units/mg.

Status

This monograph has been retired and is no longer subject to revision or update.