12-07243. Pentacynium Bis(methylsulfate) [Archived]

Nomenclature

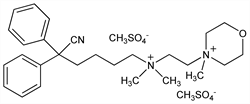
CAS number: 3810-83-1
4-[2-[(5-Cyano-5,5-diphenylpentyl)dimethylammonio]ethyl]-4-methylmorpholinium bis(methylsulfate); N1-(5-cyano-5,5-diphenylpentyl)-N1,N1,N2-trimethylethylene-1-ammonium-2-morpholinium bis(methylsulfate); ethylene-1-[(5-cyano-5,5-diphenylpentyl)dimethylammonium]-(4-methylmorpholinium) bis(methylsulfate); pentacyone mesylate; Presidal.
C29H45N3O9S2; mol wt 643.81.
C 54.10%, H 7.05%, N 6.53%, O 22.37%, S 9.96%.

Description and references

Ganglionic blocker. Prepn: Billinghurst, US 2851458 (1958 to Burroughs Wellcome).

Chemical structure

Properties

Crystals from ethanol, mp 173-175°. Sol in water.

Therapeutic Category

Antihypertensive.

Keywords

Antihypertensive; Quaternary Ammonium Compounds

Status

This monograph has been retired and is no longer subject to revision or update.