12-07234. Penillic Acids [Archived]

Nomenclature

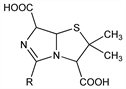
2,3,7,7a-Tetrahydro-2,2-dimethylimidazo[5,1-b]thiazole-3,7-dicarboxylic acid derivatives.

Description and references

Degradation products of penicillins obtained by acid hydrolysis at pH 2. Review and bibliography: Abrahams in Antibiotics vol. 2, H. W. Florey et al., Eds. (Oxford University Press, New York, 1949) p 889.

Chemical structure

Status

This monograph has been retired and is no longer subject to revision or update.