12-07346. Phenactropinium Chloride [Archived]

Nomenclature

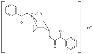
CAS number: 3784-89-2
3-[(Hydroxyphenylacetyl)oxy]-8-methyl-8-(2-oxo-2-phenylethyl)-8-azoniabicyclo[3.2.1]octane chloride; 8-benzoylmethyl-3α-hydroxy-1αH,H-tropanium chloride mandelate; 8-phenacylhomatropinium chloride; N-phenacyl-O-dl-mandelyltropinium chloride; Trophenium (Duncan Flockhart).
C24H28ClNO4; mol wt 429.94.
C 67.05%, H 6.56%, Cl 8.25%, N 3.26%, O 14.89%.

Description and references

Prepn: Johnston, Spencer, US 2828312 (1958 to T. & H. Smith). Ganglionic blocking agent.

Chemical structure

Properties

Crystals from hot alcohol, mp 195-197°.

Therapeutic Category

Antihypertensive.

Keywords

Antihypertensive; Quaternary Ammonium Compounds

Status

This monograph has been retired and is no longer subject to revision or update.