12-07479. Phloionolic Acid [Archived]

Nomenclature

CAS number: 583-86-8
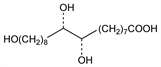
(9R,10R)-rel-9,10,18-Trihydroxyoctadecanoic acid; 9,10,18-trihydroxystearic acid.
C18H36O5; mol wt 332.48.
C 65.02%, H 10.91%, O 24.06%.

Description and references

Isolation from cork: Seoane, Ribas, An. R. Soc. Esp. Fis. Quim. 47B, 61 (1951), C.A. 46, 89i (1952); 51, 8651a (1957); Ribas, Seoane, ibid. 50B, 963 (1954), C.A. 50, 806f (1956); Brown, Rosen, US 2872464 (1959 to Crown Cork). Structure: Seoane et al., Chem. Ind. (London) 1957, 490; An. R. Soc. Esp. Fis. Quim. 55B, 839 (1959); Duhamel, Bull. Soc. Chim. Fr. 1965, 399.

Chemical structure

Properties

Crystals from ethanol + water, mp 101-102°.

Derivative

Methyl ester.
C19H38O5; mol wt 346.50.
C 65.86%, H 11.05%, O 23.09%.

Properties

Crystals from benzene + petr ether, mp 80.5-81.5°.

Status

This monograph has been retired and is no longer subject to revision or update.