13-07420. Phosfolan [Archived]

Nomenclature

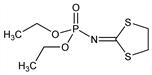
CAS number: 947-02-4
1,3-Dithiolan-2-ylidenephosphoramidic acid diethyl ester; phosphonodithioimidocarbonic acid cyclic ethylene P,P-diethyl ester; diethyl 1,3-dithiolan-2-ylidenephosphoramidate; 2-(diethoxyphosphinylimino)-1,3-dithiolane; phospholan; AC-47031; CL-47031; EI-47031; ENT-25830.
C7H14NO3PS2; mol wt 255.29.
C 32.93%, H 5.53%, N 5.49%, O 18.80%, P 12.13%, S 25.12%.

Description and references

Prepn: R. W. Addor, J. B. Lovell, BE 618155, R. W. Addor, US 3197481 (1962, 1965 both to Am. Cyanamid). Activity: D. L. Bull et al., J. Econ. Entomol. 57, 112 (1964); R. L. Ridgway et al., ibid. 59, 149 (1966). Fate in soil: G. Tantawy et al., Alexandria J. Agric. Res. 22, 315 (1974). Metabolism: I. P. Kapoor, R. C. Blinn, J. Agric. Food Chem. 25, 413 (1977). Toxicology: M. M. Shawki et al., Beitr. Trop. Landwirtsch. Veterinaermed. 18, 291 (1980).

Chemical structure

Properties

n25D 1.5463. Sol in water, acetone, benzene, ethanol, cyclohexane, toluene. Slightly sol in ether; sparingly sol in hexane.

Use

Insecticide.

Status

This monograph has been retired and is no longer subject to revision or update.