12-08095. Pseudoaconitine [Archived]

Nomenclature

CAS number: 127-29-7
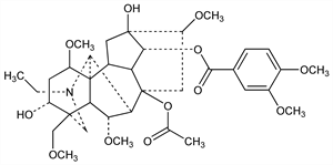
(1α,3α,6α,14α,16β)-20-Ethyl-1,6,16-trimethoxy-4-(methoxymethyl)aconitane-3,8,13,14-tetrol 8-acetate 14-(3,4-dimethoxybenzoate); acraconitine; feraconitine; nepaline; veratroylaconine; “English” aconitine; “Nepal” aconitine.
C36H51NO12; mol wt 689.79.
C 62.68%, H 7.45%, N 2.03%, O 27.83%.

Description and references

From tubers of Aconitum ferox Wall., Ranunculaceae. Ref: Wright, Luff, J. Chem. Soc. 33, 151 (1878); Dunstan, Carr, ibid. 71, 350 (1897); Henry, Sharp, ibid. 1928, 1105, 3094; K. Paech, M. V. Tracey, Modern Methods of Plant Analysis Vol. IV (Springer-Verlag, Berlin, 1955) p 375. Structure: Gilman, Marion, Tetrahedron Lett. 1962, 923. Stereochemistry: Tsuda, Marion, Can. J. Chem. 41, 1485 (1963).

Chemical structure

Properties

White crystals, or amorphous, syrupy mass. Very poisonous! mp 214°. [α]D20 +17° (alc); the salts are levorotatory. Practically insol in water. Sol in alcohol, ether.

Derivative

Hydrobromide trihydrate.
C36H52BrNO12.3H2O; mol wt 824.75.
C 52.43%, H 7.09%, Br 9.69%, N 1.70%, O 29.10%.

Properties

Triangular prisms, mp 199°. [α]D20 18.5° (water).

Status

This monograph has been retired and is no longer subject to revision or update.