12-08978. Streptobiosamine [Archived]

Nomenclature

CAS number: 126-05-6
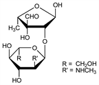
5-Deoxy-2-O-[2-deoxy-2-(methylamino)-α-l-glucopyranosyl]-3-C-formyl-l-lyxose.
C13H23NO9; mol wt 337.32.
C 46.29%, H 6.87%, N 4.15%, O 42.69%.

Description and references

A disaccharide representing two-thirds of the streptomycin molecule. It is built up from streptose and N-methyl-l-glucosamine. Structure and formation of derivatives by acid cleavage of streptomycin: Brink et al., J. Am. Chem. Soc. 68, 2096, 2405, 2557, 2679 (1946); Lemieux et al., ibid. 69, 1838 (1947); Kuehl et al., ibid. 70, 2613 (1948); 71, 1445 (1948).

Chemical structure

Status

This monograph has been retired and is no longer subject to revision or update.