12-09637. ζ2-Tocopherol [Archived]

Nomenclature

CAS number: 493-35-6
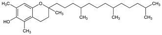
3,4-Dihydro-2,5,7-trimethyl-2-(4,8,12-trimethyltridecyl)-2H-1-benzopyran-6-ol; 2,5,7-trimethyl-2-(4,8,12-trimethyltridecyl)-6-chromanol; 5,7-dimethyltocol.
C28H48O2; mol wt 416.68.
C 80.71%, H 11.61%, O 7.68%.

Description and references

Isoln from rice: Green, Marcinkiewicz, Nature 177, 86 (1956). Structure: Green et al., J. Chem. Soc. 1959, 3362. Synthesis: Karrer, Fritsche, Helv. Chim. Acta 21, 1234 (1938); Bergel et al., J. Chem. Soc. 1938, 1382; McHale et al., ibid. 1958, 1600.

Chemical structure

Properties

Pale yellow oil. Crystallizes in prisms at 4°. uv max (ethanol): 292 nm (E1%1cm 83.0).

Derivative

4-Phenylazobenzoate.
C41H56N2O3; mol wt 624.89.
C 78.80%, H 9.03%, N 4.48%, O 7.68%.

Properties

Crystals from 2-propanol, mp 61°.

Derivative

3′,5′-Dinitrophenylurethane.
C35H51N3O7; mol wt 625.80.
C 67.17%, H 8.21%, N 6.71%, O 17.90%.

Properties

Plates from 2- propanol + water, mp 65°.

Status

This monograph has been retired and is no longer subject to revision or update.