9822. Toluylene Blue

Nomenclature

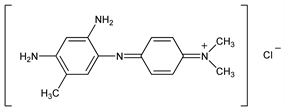
CAS number: 97-26-7
N-[4-[(2,4-Diamino-5-methylphenyl)imino]-2,5-cyclohexadien-1-ylidene]-N-methylmethanaminium chloride; [4-(4,6-diamino-m-tolyl)imino-2,5-cyclohexadien-1-ylidene]dimethylammonium chloride; C.I. 49410.
C15H19ClN4; mol wt 290.79.
C 61.96%, H 6.59%, Cl 12.19%, N 19.27%.

Description and references

Prepd by condensation of p-nitrosodimethylaniline with 2,4-diaminotoluylene: Witt, Ber. 12, 933 (1879); DE 15272; Frdl. 1, 274. Also formed by irradiating a mixture of dimethyl-p-phenylenediamine and m-toluylenediamine: Loiseleur, Compt. Rend. 237, 461 (1953). See also Colour Index vol. 4 (3rd ed., 1971) p 4443.

Chemical structure

Derivative

Monohydrate.

Properties

Prismatic, copper-brown, shiny crystals. Gives blue soln with cold water, alc, acetic acid.

Use

Biological stain.