13-02082. Chloramben [Archived]

Nomenclature

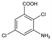
CAS number: 133-90-4
3-Amino-2,5-dichlorobenzoic acid.
C7H5Cl2NO2; mol wt 206.03.
C 40.81%, H 2.45%, Cl 34.42%, N 6.80%, O 15.53%.

Description and references

Selective pre-emergence herbicide. Prepn: S. R. McLane et al., US 3014063 (1961 to Amchem). Activity: A. J. Tafuro, Proc. Northeast. Weed Control Conf. 1959, 423. Degradn in soil: R. E. Wildung et al., Weed Res. 8, 213 (1968). Carcinogenicity study: J. F. Robens, Vet. Hum. Toxicol. 22, 328 (1980).

Chemical structure

Properties

Cryst, mp 200-201°. Vapor press at 100°: 7 × 103 mm Hg. Soly in water at 25°: 700 mg/l. Soly in (g/100 ml): acetone 23.3; methanol 22.3; ethanol 17.3; chloroform 0.09; benzene 0.02.

Derivative

Ammonium salt.

Nomenclature

ACPM-629; Amiben (Rhone-Poulenc).
C7H8Cl2N2O2; mol wt 223.06.
C 37.69%, H 3.61%, Cl 31.79%, N 12.56%, O 14.35%.

Properties

mp 194-197° (dec). Soly in (g/100 gm) at 25°: water 29.6; ethanol 6.9; isopropanol 1.7. Soly in water at 20°: 120 mg/l.

Derivative

Methyl ester.

Nomenclature

Amchem 65-81B; Vegiben.
C8H7Cl2NO2; mol wt 220.05.
C 43.67%, H 3.21%, Cl 32.22%, N 6.37%, O 14.54%.

Properties

mp 63-64°. Soly in water at 20°: 120 mg/l.

Use

Herbicide.

Status

This monograph has been retired and is no longer subject to revision or update.