13-02931. Dermostatin [Archived]

Nomenclature

CAS number: 11120-15-3
Viridofulvin; Dermastatin.

Description and references

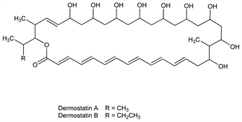
Antifungal polyene antibiotic mixture produced by Streptomyces viridogriseus Thirum. Comprised of about 43% Dermostatin A, C40H64O11 , and 57% Dermostatin B, C41H66O11 , the first hexaenes to have their structures determined. Preliminary isoln and physico-chemical studies: Bhate et al., Hind. Antibiot. Bull. 4, 159 (1962), C.A. 57, 13013d (1962); Thirumalachar, Bhate, IN 76253 (1963 to Hindustan Antibiotics), C.A. 59, 8095b (1963). Purifn: Narasimhachari et al., Hind. Antibiot. Bull. 8, 111 (1966), C.A. 65, 5301c (1966). Structural studies: Narasimhachari, Swami, Chemotherapy 13, 181 (1968). Revised structure: Pandey et al., J. Antibiot. 26, 475 (1973). Antifungal activity: Menon, Hind. Antibiot. Bull. 4, 106 (1962), C.A. 57, 5121c (1962); Gordee, Butler, J. Antibiot. 24, 561 (1971).

Chemical structure

Properties

Golden-yellow needles, sinters at 180° and darkens at 200°. [α]D 82° (c = 0.2 in methanol). uv max: 383, 282, 223 nm (E1%1cm 1000, 212, 130). Sol in aq methanol.

Derivative

Acetate.

Properties

Prisms from methanol, mp 146-147°. [α]D23 59.8° (c = 1.37 in chloroform).

Therapeutic Category

Antifungal.

Keywords

Antifungal (Antibiotics); Polyenes

Status

This monograph has been retired and is no longer subject to revision or update.