13-04862. Hydroxyphenamate [Archived]

Nomenclature

CAS number: 50-19-1
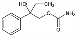
2-Phenyl-1,2-butanediol 1-carbamate; carbamic acid β-ethyl-β-hydroxyphenethyl ester; β-ethyl-β-hydroxyphenethyl carbamic acid ester; β-ethyl-β-hydroxyphenethyl carbamate; 2-hydroxy-2-phenylbutyl carbamate; AL-0361; Listica.
C11H15NO3; mol wt 209.24.
C 63.14%, H 7.23%, N 6.69%, O 22.94%.

Description and references

Prepd from β-ethyl-β-hydroxyphenethyl alcohol and ethyl chloroformate followed by reaction with ammonia: Sifferd, Braitberg, US 3066164 (1962 to Armour-Pharm.). Pharmacology and toxicology: Bastian, Clements, Dis. Nerv. Syst. 22, 9 (1961).

Chemical structure

Properties

Crystals, mp 55-56.5°. Soly in water at 25°: 2.5% w/v. LD50 orally in mice: 830 mg/kg (Bastian, Clements).

Therapeutic Category

Anxiolytic.

Keywords

Anxiolytic; Carbamates

Status

This monograph has been retired and is no longer subject to revision or update.