13-06517. Nicametate [Archived]

Nomenclature

CAS number: 3099-52-3
3-Pyridinecarboxylic acid 2-(diethylamino)ethyl ester; nicotinic acid 2-diethylaminoethyl ester; diethylaminoethyl 3-pyridinecarboxylate; diethylaminoethyl nicotinate; Eucast.
C12H18N2O2; mol wt 222.28.
C 64.84%, H 8.16%, N 12.60%, O 14.40%.

Description and references

Prepd from nicotinoyl chloride and diethylaminoethanol or from nicotinic acid and diethylaminoethyl chloride: Blicke, Jenner, J. Am. Chem. Soc. 64, 1722 (1942). Clinical trial in vascular pathology: P. Langeron, J. Sci. Med. Lille 90, 179 (1972). Use of the citrate in cardiovascular surgery: C. Stankowiak et al., Lille Med. 18, 1039 (1973).

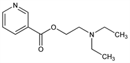
Chemical structure

Properties

Liquid. bp10 155-157°; bp2 120-125°.

Derivative

Hydrochloride.

Nomenclature

CAS number: 56676-64-3
C12H18N2O2.HCl; mol wt 258.74.
C 55.70%, H 7.40%, N 10.83%, O 12.37%, Cl 13.70%.

Properties

Crystals from acetone, ethanol or isopropyl alcohol, mp 128-129°.

Derivative

Citrate monohydrate.

Nomenclature

Euclidan; Nutrin (Chemipharm); Soclidan.
C12H18N2O2.C6H8O7.H2O; mol wt 432.42.
C 50.00%, H 6.53%, N 6.48%, O 37.00%.

Therapeutic Category

Vasodilator (cerebral, peripheral).

Keywords

Vasodilator (Cerebral); Vasodilator (Peripheral)

Status

This monograph has been retired and is no longer subject to revision or update.