13-07204. Penthienate Bromide [Archived]

Nomenclature

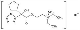
CAS number: 60-44-6
2-[(Cyclopentylhydroxy-2-thienylacetyl)oxy]-N,N-diethyl-N-methylethanaminium bromide; diethyl(2-hydroxyethyl)methylammonium bromide α-cyclopentyl-2-thiopheneglycolate; diethyl-2-[1-hydroxy-1-cyclopentyl-1-(2-thienyl)acetoxy]ethylmethylammonium bromide; 2-diethylaminoethyl 2-cyclopentyl-2-(2-thienyl)hydroxyacetate methobromide; 2-diethylaminoethyl-α-cyclopentyl-2-thiopheneglycolate methobromide; Win-4369; Monodral bromide (Winthrop).
C18H30BrNO3S; mol wt 420.40.
C 51.43%, H 7.19%, Br 19.01%, N 3.33%, O 11.42%, S 7.63%.

Description and references

Anticholinergic. Prepn: Blicke, Tsao, J. Am. Chem. Soc. 66, 1645 (1944); Blicke, US 2541634 (1951).

Chemical structure

Properties

Pale yellow crystals, mp 124.6°. uv max: 238 nm (A1%1cm 189). One gram dissolves in 5 ml water. Freely sol in alc, chloroform. Slightly sol in acetone. Insol in ether. pH of a 1% aq soln 5.5 to 7.0.

Therapeutic Category

Antispasmodic.

Keywords

Antimuscarinic; Antispasmodic

Status

This monograph has been retired and is no longer subject to revision or update.