13-07818. 4-Pregnene-20,21-diol-3,11-dione [Archived]

Nomenclature

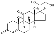
CAS number: 116-56-3
20,21-Dihydroxypregn-4-ene-3,11-dione; Reichstein's substance T.
C21H30O4; mol wt 346.46.
C 72.80%, H 8.73%, O 18.47%.

Description and references

Isoln from adrenal glands: Reichstein, von Euw, Helv. Chim. Acta 22, 1222 (1939).

Chemical structure

Properties

Crystals, mp ≈210°. [α]D20 +176° (acetone).

Derivative

Diacetate.
C25H34O6; mol wt 430.53.
C 69.74%, H 7.96%, O 22.30%.

Properties

Crystals, mp 212-213°.

Status

This monograph has been retired and is no longer subject to revision or update.