13-08906. Streptonicozid [Archived]

Nomenclature

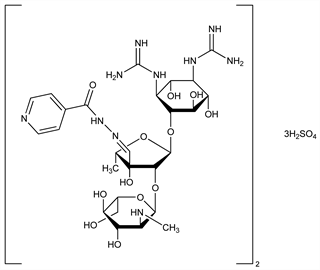
CAS number: 5667-71-0
4-Pyridinecarboxylic acid hydrazide, hydrazone with O-2-deoxy-2-(methylamino)-α-l-glucopyranosyl-(1→2)-O-5-deoxy-3-C-formyl-α-l-lyxofuranosyl-(1→4)-N,N′-bis(aminoiminomethyl)-d-streptamine sulfate (2:3) (salt); isonicotinic acid hydrazide, hydrazone with streptomycin, sulfate (salt) (2:3); streptomyclidene isonicotinyl hydrazine sulfate; streptoniazide; Strazide (Luso); Streptohydrazid (Pfizer).
C54H94N20O36S3; mol wt 1695.63.
C 38.25%, H 5.59%, N 16.52%, O 33.97%, S 5.67%.

Description and references

Semi-synthetic antibiotic prepd by the condensation of streptomycin salts and isonicotinic acid hydrazide in methanol: Pennington et al., J. Am. Chem. Soc. 75, 2261 (1953).

Chemical structure

Properties

Crystals, dec ≈230°. Freely sol in water with dissocn in dil solns. Solubilities determined by Weiss et al., Antibiot. Chemother. 7, 374 (1957) in mg/ml at about 28°: water >20; ethanol 0.115; carbon tetrachloride 0.025; ether 0.31.

Therapeutic Category

Antibacterial (tuberculostatic).

Keywords

Antibacterial (Tuberculostatic)

Status

This monograph has been retired and is no longer subject to revision or update.